Diketahui Terdapat 8 Lukisan Yang Berbeda

Informasi tentang lukisan lengkap

Diketahui Terdapat 8 Lukisan Yang Berbeda ~ Penulis memilih gua Uhalie karena gua ini memiliki lukisan terbanyak dibanding dengan gua lainnya yang terdapat di Sulawesi Selatan. A Banyak cara 8 7 6 8 x 7 x 6 336 cara macam formasi tempat pertama ada 8 orang yang mungkin menjadi Ketua setelah ketua terpilih maka ada 7 orang yang mungkin menempati posisi sekretaris dan terakhir tersisa 6 orang untuk memperebutkan posisi sebagai bendahara b Banyak cara 3 7 6 3 x 7 x 6 126 cara macam formasi tempat pertama ada 3 orang yang. 17042015 Ada dasar laut yang dipenuhi terumbu karang dan tanaman-tanaman lautnya kemudian pantai yang juga terdapat gunung-gunung kecil disebelahnya dan ada juga langit yang dipenuhi awan-awan putih. 8 x 7 x 6 x 5 x 3 x 2 x 1 40320 5 orang putra duduk pada 5 kursi tertentu dan pertukaran duduk hanya boleh pada ke 5 kursi tersebut. Dirinya juga menghabiskan banyak hidupnya di Eropa. A Banyak Bilangan 5. Selain itu periode dibuatnya lukisan juga menentukan tinggi rendah nilai lukisan ucap Amir. Pemandangan alam adalah objek yang sering diambil sebagai latar belakang lukisan. Di ajang Art Jog 8 lukisan. 10 Sebelumnya peneliti lain sudah meneliti efek bawang putih terhadap bakteri dan hasilnya diketahui bahwa ekstrak bawang putih mampu menghambat bakteri. Indeed recently is being sought by consumers around us, perhaps one of you personally. People are now accustomed to using the internet in gadgets to view image and video data for inspiration, and according to the title of this post I will talk about about Diketahui Terdapat 8 Lukisan Yang Berbeda. P 6. A Bilangan terdiri dari 4 angka b Bilangan itu habis dibagi 2. 8 aliran lukisan yang duminati. Beberapa orang menganggap lukisan ini mengandung mistis. Lukisan yang merupakan terjemahan lagunya Radiohead yang judulnya All I Need ini terlihat muncul warna pink merah dan kuning yang seolah-olah seperti kobaran api. Bagaimana lukisan membentuk suatu dinamika antara manusia dan semesta cara penyampaian pesan yang mengatakan bahwa dalam lukisan tersebut terdapat nafas bahwa keindahan dari lukisan tersebut hidup. Lukisan ini bisa dibilang sebagai curahan hati sang pelukis karena diketahui ibunya meninggal saat usianya masih 5 tahun. 9 Penelitian ini merupakan penelitian lanjutan. A Banyak Bilangan 5. 10 Sebelumnya peneliti lain sudah meneliti efek bawang putih terhadap bakteri dan hasilnya diketahui bahwa ekstrak bawang putih mampu menghambat bakteri.

Lukisan Rp4 8 Miliar Diselamatkan Dari Tempat Sampah Bandara
Lukisan Rp4 8 Miliar Diselamatkan Dari Tempat Sampah Bandara from id.berita.yahoo.com
p> 19052021 Seperti kita bicarakan di atas tentang lukisan sebuah lukisan memiliki ciri khas tema dan teknik yang disebut gaya atau aliran. Medium lukisan seperti kanvas kayu matras kertas papan atau metal ikut mempengaruhi nilai lukisan. C Bilangan itu terdiri dari 3 angka dan lebih dari 300. If you re looking for Diketahui Terdapat 8 Lukisan Yang Berbeda you've reached the perfect place. We ve got 10 images about diketahui terdapat 8 lukisan yang berbeda adding pictures, photos, photographs, backgrounds, and more. In such page, we also have number of graphics out there. Such as png, jpg, animated gifs, pic art, symbol, black and white, transparent, etc.

Nah berikut beberapa buku yang mencatat sosok putri sejati ini. Di ajang Art Jog 8 lukisan. Ikan-ikan yang ada dalam kantong itu diibaratkan manusia.

Beberapa orang menganggap lukisan ini mengandung mistis.

27012012 Dari angka 3 5 6 7 dan 9 dibuat bilangan yang terdiri atas tiga angka yang berbeda. Dirinya juga menghabiskan banyak hidupnya di Eropa. 25112020 c Banyak Nomor 9 x 8 x 7 x 6 x 26 x 26 9 x 8 x 7 x 6 x 26 x 26 2044224. Lukisan era tahun 1971 dianggap lebih menarik dan memiliki nilai lebih tinggi dibanding lukisan.

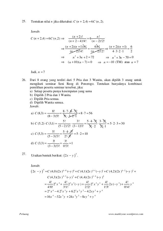
If the posting of this internet site is beneficial to your suport by expressing article posts of the site to social media accounts that you have such as Facebook, Instagram and others or can also bookmark this blog page using the title 2 2 Peluang 47sp 112sl Ok Use Ctrl + D for computer system devices with Glass windows operating-system or Demand + D for laptop devices with operating system from Apple. If you use a smartphone, you can also use the drawer menu with the browser you utilize. Whether its a Windows, Mac, iOs or Android operating-system, you'll still be able to download images utilizing the download button.